Devoirs Corrigés Maths N°3 S1 Tronc commun
Modèle N°1
Mathématiques
Classe : TCS – Durée : 2H
Exercice 1 : Polynômes 5 points
On considère le polynôme : \( P(x) = 3x^4 – 4x^3 – 11x^2 + 16x – 4 \)
Exercice 2 : Équations et inéquations 6 points
On considère les deux équations suivantes :
\[(E_1): 2x^2 – 3x – 2 = 0 \quad \text{et} \quad (E_2): -9x^2 – 4x + 5 = 0.\]
Et l’inéquation \((F): \dfrac{-9x^2 – 4x + 5}{2x^2 – 3x – 2} \leq 0\).
2a) Résoudre dans \( \mathbb{R} \) l’équation \((E_2)\)
3a) Dresser le tableau de signe du quotient : \(\dfrac{-9x^2 – 4x + 5}{2x^2 – 3x – 2}\)
Exercice 3 : Systèmes d’équations 3 points
1En utilisant la méthode des déterminants, résoudre dans \( \mathbb{R} \times \mathbb{R} \) le système : \( \begin{cases} 2x – 3y = 1 \\ 6x – 4y = 8 \end{cases} \)
2En déduire les solutions du système : \( \begin{cases} 2(3x – 1) – 3|y| = 1 \\ 6(3x – 1) – 4|y| = 8 \end{cases} \)
Exercice 4 : Trigonométrie 6 points
1Représenter sur un cercle trigonométrique les points suivants, en précisant leurs abscisses curvilignes principales :
\[M_1 \left( \frac{55\pi}{6} \right); \quad M_2 \left( -\frac{10\pi}{4} \right)\]
2On considère l’expression suivante :
\[A(x) = \cos \left( \frac{17\pi}{2} + 3x \right) + \sin \left( 29\pi – 3x \right) + \cos \left( 3x – 15\pi \right) + \sin \left( 3x + \frac{23\pi}{2} \right)\]
b) Calculer, en utilisant le tableau des valeurs remarquables : \( A \left( \frac{\pi}{4} \right) \) et \( A \left( \frac{\pi}{6} \right) \)
🔒 Abonnez-vous pour accéder à la correction détaillée .
Modèle N°2
Mathématiques
Classe : TCS – Durée : 2H
I- Exercice 1
4 points
On pose : \( A \left( \frac{127\pi}{4} \right) \) et \( B \left( -\frac{585\pi}{2} \right) \)
Déterminer l’abscisse curviligne principale de \( A \) et \( B \)
Représenter \( A \) et \( B \) sur le cercle trigonométrique
Pour tout \( x \in \mathbb{R} \), on pose : \( C(x) = \cos \left( 10\pi + x – \frac{13\pi}{2} \right) – \sin \left( 5\pi + x – \frac{\pi}{2} \right) \)
Simplifier \( C(x) \)
Calculer \( \sin \left( \frac{127\pi}{4} \right) \) et \( \cos \left( -\frac{585\pi}{2} \right) \)
II- Exercice 2
4 points
Soit \( x \in [0; \frac{\pi}{2}] \) et \( \sin x = \frac{\sqrt{5}}{4} \)
Calculer \( \cos (x) \) et \( \tan (x) \)
Soit \( x \in [\frac{\pi}{2}; \pi] \) et \( \cos x = \frac{-2}{3} \)
Calculer \( \sin (x) \) et \( \tan (x) \)
On pose : \( \cos \frac{5\pi}{12} = \frac{\sqrt{6} – \sqrt{2}}{4} \)
Calculer \( \sin \left( \frac{5\pi}{12} \right) \) et \( \tan \left( \frac{5\pi}{12} \right) \)
III- Exercice 3
12 points
Résoudre dans \( \mathbb{R} \) l’équation : \( x^2 – 3x + 2 = 0 \)
Déterminer le signe du trinôme \( x^2 – 3x + 2 \)
En déduire les solutions des inéquations \( x^2 – 3x + 2 \leq 0 \) et \( x^2 – 3x + 2 > 0 \)
On considère l’équation : \( (E) : 2x^2 – 3x + 1 = 0 \)
Vérifier que l’équation \( (E) \) admet deux solutions distinctes \( \alpha \) et \( \beta \) sans les déterminer
Sachant que \( \alpha = \frac{1}{2} \), vérifier que \( \beta = 1 \)
En déduire les solutions de l’équation :
Résoudre dans \( \mathbb{R} \) l’inéquation :
Résoudre dans \( \mathbb{R}^2 \) le système suivant :
2x + y = 4 \\
5x – 2y = 1
\end{cases}\]
En déduire les solutions du système :
2\sqrt{x} + \sqrt{y} = 4 \\
5\sqrt{x} – 2\sqrt{y} = 1
\end{cases}\]
🔒 Abonnez-vous pour accéder à la correction détaillée .
Modèle N°3
Mathématiques
Classe : TCS – Durée : 2H
EXERCICE 1 : Questions indépendantes
6 points
Le plan \( (P) \) étant muni d’un repère \((0, \vec{i}, \vec{j})\) :
Les points \( A(6,3) \), \( B(1,1) \) et \( C(-4, -2) \) sont-ils alignés ? (justifier)
On considère la droite \( (D) \) d’équation cartésienne : \( 2x – 3y + 1 = 0 \)
Donner une représentation paramétrique de la droite \( (D) \)
On considère les deux droites :
\[(D_m) : (2m – 1)x – 3my – 2 = 0 \quad (m \in \mathbb{R})\]
\[\text{et} \quad (D) : x – 3y + 2 = 0\]
Déterminer \( m \) pour que les droites \( (D_m) \) et \( (D) \) soient parallèles
Déterminer le réel \( k \) pour que 2 soit une racine du polynôme :
Déterminer les réels \( a, b \) et \( c \) tels que :
EXERCICE 2
6 points
On considère le polynôme :
\[P(x) = -x^3 + 2x^2 + 5x – 6\]
Montrer que le polynôme \( P(x) \) est divisible par \( x + 2 \)
Déterminer le polynôme \( Q(x) \) tel que :
a) Montrer que 1 est une racine du polynôme \( Q(x) \)
b) En déduire que : \( Q(x) = (x – 1)(3 – x) \)
On suppose que \( \frac{3}{2} < x < \frac{5}{2} \)
a) Montrer que : \( \frac{1}{4} < Q(x) < \frac{9}{4} \)
b) En déduire que \( \frac{5}{4} \) est une valeur approchée de \( Q(x) \) à la précision 1
Résoudre dans \( \mathbb{R} \) l’équation :
EXERCICE 3
6 points
Le plan \( (P) \) étant muni d’un repère \((0, \vec{i}, \vec{j})\).
On considère les points \( A(1,1) \), \( B(2, -1) \) et le vecteur \( \vec{u}(1,1) \).
Déterminer une équation cartésienne de la droite \( (D) \) passant par \( A \) et de vecteur directeur \( \vec{u} \)
Soit la droite \( (\Delta) \) de représentation paramétrique :
\[\begin{cases}
x = t \\
y = -3 + t
\end{cases} \quad (t \in \mathbb{R})\]
Montrer que les droites \( (D) \) et \( (\Delta) \) sont parallèles
Soit \( (D’) \) la droite d’équation cartésienne :
\[x – 4y + 3 = 0\]
Montrer que \( (D’) \) et \( (\Delta) \) sont sécantes en un point \( C \) qu’on déterminera ses coordonnées
a) Déterminer les coordonnées du point \( E \) tel que \( ABCE \) soit un parallélogramme
b) Vérifier que le point \( E \) appartient à la droite \( (D) \)
EXERCICE 4
2 points
\( ABC \) est un triangle, \( R \) et \( S \) deux points tels que :
\[BR = 2\overrightarrow{BC} + \overrightarrow{AB} \quad \text{et} \quad AS = 2\overrightarrow{AC} – 3\overrightarrow{AB}\]
On munit le plan du repère \( (A, \overrightarrow{AB}, \overrightarrow{AC}) \).
Déterminer les coordonnées de \( R \) et \( S \)
Montrer que les droites \( (AB) \) et \( (RS) \) sont parallèles
EXERCICE 1 (6 points)
Questions indépendantes
Alignement des points \( A(6,3) \), \( B(1,1) \) et \( C(-4,-2) \)
Corrigé :
Pour vérifier l’alignement, on calcule les vecteurs \( \overrightarrow{AB} \) et \( \overrightarrow{AC} \) :
\( \overrightarrow{AC} = (x_C – x_A, y_C – y_A) = (-4-6, -2-3) = (-10, -5) \)
Les points sont alignés si et seulement si \( \overrightarrow{AB} \) et \( \overrightarrow{AC} \) sont colinéaires :
\( = (-5) \times (-5) – (-10) \times (-2) = 25 – 20 = 5 \neq 0 \)
Le déterminant n’est pas nul, donc les vecteurs ne sont pas colinéaires.
Représentation paramétrique de \( (D) : 2x – 3y + 1 = 0 \)
Corrigé :
On trouve d’abord un point et un vecteur directeur de la droite.
Point : Pour \( x = 1 \), on a \( 2(1) – 3y + 1 = 0 \) ⇒ \( 3 – 3y = 0 \) ⇒ \( y = 1 \)
Donc \( A(1,1) \in (D) \)
Vecteur directeur : Un vecteur directeur est \( \vec{u}(3,2) \)
(car si \( ax + by + c = 0 \), un vecteur directeur est \( \vec{u}(-b, a) \) ou \( \vec{u}(b, -a) \))
Représentation paramétrique :
\[
\begin{cases}
x = 1 + 3t \\
y = 1 + 2t
\end{cases} \quad (t \in \mathbb{R})
\]
Déterminer \( m \) pour que \( (D_m) \) et \( (D) \) soient parallèles
Corrigé :
\( (D_m) : (2m – 1)x – 3my – 2 = 0 \)
\( (D) : x – 3y + 2 = 0 \)
Deux droites sont parallèles si leurs vecteurs directeurs sont colinéaires.
Pour \( (D_m) \), un vecteur directeur est \( \vec{u}_m(3m, 2m-1) \)
Pour \( (D) \), un vecteur directeur est \( \vec{u}(3, 1) \)
Colinéarité : \( \frac{3m}{3} = \frac{2m-1}{1} \) car \( \text{det}(\vec{u}_m(3m, 2m-1), \vec{u}) = 0 \)
Soit : \( m = 2m – 1 \)
Donc : \( m – 2m = -1 \) ⇒ \( -m = -1 \) ⇒ \( m = 1 \)
Déterminer \( k \) pour que 2 soit racine de \( P(x) \)
Corrigé :
\( P(x) = 3x^3 – 6x^2 + (2 + 3k)x – 2k \)
2 est racine si \( P(2) = 0 \)
\( P(2) = 3(2)^3 – 6(2)^2 + (2 + 3k)(2) – 2k \)
\( = 3 \times 8 – 6 \times 4 + (2 + 3k) \times 2 – 2k \)
\( = 24 – 24 + 4 + 6k – 2k \)
\( = 4 + 4k \)
On résout \( 4 + 4k = 0 \) ⇒ \( 4k = -4 \) ⇒ \( k = -1 \)
Déterminer \( a, b, c \) tels que \( x^3 + 2x^2 – 4x + 1 = (x-1)(ax^2 + bx + c) \)
Corrigé :
On développe le produit :
\( (x-1)(ax^2 + bx + c) = ax^3 + bx^2 + cx – ax^2 – bx – c \)
\( = ax^3 + (b-a)x^2 + (c-b)x – c \)
Identification avec \( x^3 + 2x^2 – 4x + 1 \) :
\[
\begin{cases}
a = 1 \\
b – a = 2 \\
c – b = -4 \\
-c = 1
\end{cases}
\]
Résolution :
De \( a = 1 \) et \( b – a = 2 \) : \( b – 1 = 2 \) ⇒ \( b = 3 \)
De \( -c = 1 \) : \( c = -1 \)
Vérification avec \( c – b = -4 \) : \( -1 – 3 = -4 \) ✓
Donc \( x^3 + 2x^2 – 4x + 1 = (x-1)(x^2 + 3x – 1) \)
EXERCICE 2 (6 points)
Étude d’un polynôme
Montrer que \( P(x) \) est divisible par \( x + 2 \)
Corrigé :
\( P(x) = -x^3 + 2x^2 + 5x – 6 \)
Un polynôme est divisible par \( x + 2 \) si et seulement si \( P(-2) = 0 \)
\( P(-2) = -(-2)^3 + 2(-2)^2 + 5(-2) – 6 \)
\( = -(-8) + 2(4) – 10 – 6 \)
\( = 8 + 8 – 10 – 6 = 0 \)
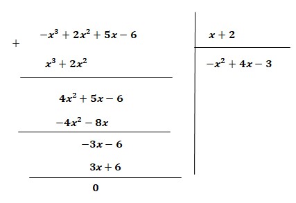
Déterminer \( Q(x) \) tel que \( P(x) = (x+2)Q(x) \)
Corrigé :
On effectue la division euclidienne de \( P(x) \) par \( x + 2 \) :

Étude de \( Q(x) \)
Corrigé :
a) Montrer que 1 est racine de \( Q(x) \) :
\( Q(1) = -1^2 + 4(1) – 3 = -1 + 4 – 3 = 0 \)
Donc 1 est bien racine de \( Q(x) \)
b) En déduire que \( Q(x) = (x-1)(3-x) \) :
Comme 1 est racine, \( Q(x) \) est divisible par \( x-1 \)
Division de \( -x^2 + 4x – 3 \) par \( x-1 \) :
\( (-x^2 + 4x – 3) ÷ (x-1) = -x + 3 \)
Car \( (x-1)(-x+3) = -x^2 + 3x + x – 3 = -x^2 + 4x – 3 \)
Donc \( Q(x) = (x-1)(-x+3) = (x-1)(3-x) \)
a) \( Q(1) = 0 \) donc 1 est racine
b) \( Q(x) = (x-1)(3-x) \)
Encadrement de \( Q(x) \) pour \( \frac{3}{2} < x < \frac{5}{2} \)
Corrigé :
a) Montrer que \( \frac{1}{4} < Q(x) < \frac{9}{4} \) :
On a : \( \frac{3}{2} < x < \frac{5}{2} \)
Alors : \( \frac{3}{2} -1 < x -1< \frac{5}{2} -1\)
\( \frac{1}{2} < x -1< \frac{3}{2} \)
Et : \( -\frac{5}{2} < -x < -\frac{3}{2}\)
\( 3-\frac{5}{2} < 3-x < 3-\frac{3}{2}\)
\( \frac{1}{2} < 3-x < \frac{3}{2}\)
Puisque : \( Q(x) = (x-1)(3-x) \)
Donc : \(\frac{1}{2}× \frac{1}{2} < (x-1)(3-x) < \frac{3}{2}×\frac{3}{2}\)
Donc : \( \frac{1}{4} < Q(x) < \frac{9}{4} \)
b) \( \frac{5}{4} \) valeur approchée à la précision 1 :
\( \frac{5}{4} \) est bien une valeur approchée de \( Q(x) \) à la précision 1 ⇔ \( |Q(x) -\frac{5}{4}|< 1 \)
On a : \( \frac{1}{4} < Q(x) < \frac{9}{4} \)
Alors : \( \frac{1}{4}-\frac{5}{4} < Q(x) -\frac{5}{4}< \frac{9}{4}-\frac{5}{4} \)
\( -1 < Q(x) -\frac{5}{4}< 1 \)
\( |Q(x) -\frac{5}{4}|< 1 \)
Donc \( \frac{5}{4} \) est bien une valeur approchée de \( Q(x) \) à la précision 1.
Résoudre \( P(|x|) = 0 \)
Corrigé :
On a \( P(x) = (x+2)Q(x) = (x+2)(x-1)(3-x) \)
Donc \( P(|x|) = (|x|+2)(|x|-1)(3-|x|) \)
\( P(|x|) = 0 \) équivaut à :
\( |x|+2 = 0 \) ou \( |x|-1 = 0 \) ou \( 3-|x| = 0 \)
• \( |x|+2 = 0 \) : impossible car \( |x|+2 \geq 2 > 0 \)
• \( |x|-1 = 0 \) : \( |x| = 1 \) ⇒ \( x = 1 \) ou \( x = -1 \)
• \( 3-|x| = 0 \) : \( |x| = 3 \) ⇒ \( x = 3 \) ou \( x = -3 \)
EXERCICE 3 (6 points)
Géométrie analytique
Équation cartésienne de \( (D) \) passant par \( A(1,1) \) de vecteur \( \vec{u}(1,1) \)
Corrigé :
Un point \( M(x,y) \) appartient à \( (D) \) si et seulement si \( \overrightarrow{AM} \) et \( \vec{u} \) sont colinéaires
\( \overrightarrow{AM} = (x-1, y-1) \)
Colinéarité : \( \frac{x-1}{1} = \frac{y-1}{1} \) car \( \text{det}(\overrightarrow{AM}, \vec{u}) = 0 \)
Donc \( x-1 = y-1 \) ⇒ \( x – y = 0 \)
Montrer que \( (D) \) et \( (\Delta) \) sont parallèles
Corrigé :
\( (\Delta) : \begin{cases} x = t \\ y = -3 + t \end{cases} \)
Un vecteur directeur de \( (\Delta) \) est \( \vec{v}(1,1) \)
Un vecteur directeur de \( (D) \) est \( \vec{u}(1,1) \)
Les deux vecteurs sont égaux, donc les droites sont parallèles.
Intersection de \( (D’) \) et \( (\Delta) \)
Corrigé :
\( (D’) : x – 4y + 3 = 0 \)
\( (\Delta) : \begin{cases} x = t \\ y = -3 + t \end{cases} \)
Un vecteur directeur de \( (\Delta) \) est \( \vec{v}(1,1) \)
Un vecteur directeur de \( (D’) \) est \( \vec{u}(4,1) \)
on a: \( \text{det}(\vec{u}, \vec{v}) = 4-1=3≠0 \)
Donc les droites sont sécantes.
Pour \( (\Delta) : \begin{cases} x = t \\ y = -3 + t \end{cases} \)
On substitue dans \( (D’) \) :
\( t – 4(-3 + t) + 3 = 0 \)
\( t + 12 – 4t + 3 = 0 \)
\( -3t + 15 = 0 \) ⇒ \( t = 5 \)
Donc \( C \) a pour coordonnées : \( x = 5 \), \( y = -3 + 5 = 2 \)
Parallélogramme ABCE
Corrigé :
a) Coordonnées de \( E \) :
Pour que ABCE soit un parallélogramme, on doit avoir \( \overrightarrow{AE} = \overrightarrow{BC} \)
\( \overrightarrow{BC} = (x_C – x_B, y_C – y_B) = (5-2, 2-(-1)) = (3, 3) \)
Soit \( E(x,y) \), alors \( \overrightarrow{AE} = (x-1, y-1) \)
On a : \( \begin{cases} x-1 = 3 \\ y-1 = 3 \end{cases} \) ⇒ \( \begin{cases} x = 4 \\ y = 4 \end{cases} \)
b) Vérifier que \( E \in (D) \) :
\( (D) : x – y = 0 \)
Pour \( E(4,4) \) : \( 4 – 4 = 0 \) ✓
Donc \( E \) appartient bien à \( (D) \)
a) \( E(4, 4) \)
b) \( 4 – 4 = 0 \), donc \( E \in (D) \)
EXERCICE 4 (2 points)
Géométrie vectorielle
Coordonnées de \( R \) et \( S \) dans \( (A, \overrightarrow{AB}, \overrightarrow{AC}) \)
Corrigé :
Dans le repère \( (A, \overrightarrow{AB}, \overrightarrow{AC}) \) :
• \( A \) a pour coordonnées \( (0,0) \)
•\( \overrightarrow{AB}\) a pour coordonnées \( (1,0) \)
•\( \overrightarrow{AC}\) a pour coordonnées \( (0,1) \)
• \( B \) a pour coordonnées \( (1,0) \)
• \( C \) a pour coordonnées \( (0,1) \)
Pour \( R \) :
\( \overrightarrow{BR} = 2\overrightarrow{BC} + \overrightarrow{AB} \)
\( \overrightarrow{BC} = \overrightarrow{BA} + \overrightarrow{AC} = -\overrightarrow{AB} + \overrightarrow{AC} \)
Donc \( \overrightarrow{BR} = 2(-\overrightarrow{AB} + \overrightarrow{AC}) + \overrightarrow{AB} = -2\overrightarrow{AB} + 2\overrightarrow{AC} + \overrightarrow{AB} = -\overrightarrow{AB} + 2\overrightarrow{AC} \)
Or \( \overrightarrow{AR} = \overrightarrow{AB} + \overrightarrow{BR} = \overrightarrow{AB} + (-\overrightarrow{AB} + 2\overrightarrow{AC}) = 2\overrightarrow{AC} \)
Donc \( R \) a pour coordonnées \( (0,2) \) car \( A \) a pour coordonnées \( (0,0) \)
Pour \( S \) :
\( \overrightarrow{AS} = 2\overrightarrow{AC} – 3\overrightarrow{AB} \)
Donc \( S \) a pour coordonnées \( (-3,2) \)
\( R(0,2) \), \( S(-3,2) \)
Montrer que \( (AB) \) et \( (RS) \) sont parallèles
Corrigé :
Avec \( R(0,2) \) et \( S(-3,2) \) :
\( \overrightarrow{RS} = (x_S – x_R, y_S – y_R) = (-3-0, 2-2) = (-3,0) \)
Le vecteur \( \overrightarrow{AB} \) a pour coordonnées \( (1,0) \)
On a \( \overrightarrow{RS} = -3\overrightarrow{AB} \)
Donc \( \overrightarrow{RS} \) et \( \overrightarrow{AB} \) sont colinéaires, ce qui signifie que \( (RS) \) est parallèle à \( (AB) \)
🔒 Abonnez-vous pour accéder à la correction détaillée .
Devoirs Corrigés Maths N°3 S1 Tronc commun
